Neurobiology of Disease
Search This Blog
Friday, August 5, 2011
Sunday, November 21, 2010
Oxidation of Dopamine

The oxidation of dopamine produces dopamine o-quinone, a melanin precursor. This reaction is mediated by Tyrosinase, an enzyme that catalyzes the oxidation of o-diphenols, such as dopamine, into o-quinoles using dioxygen. In pathological conditions, a reactive oxygen species is generated, namely dopamine o-semiquinone, and its formation is catalyzed by lactoperoxidase and hydrogen peroxide. Pathological conditions may involve the enzymatic breakdown of monoamine oxidases (MAOs) and/or the induction of oxidation reactions from environmental toxic agents. Monoamine oxidases normally recycle extra amounts of dopamine in the brain. The end product of the oxidation of dopamine is an Aminochrome that carries a detrimental function in parkinson's disease as it has been shown to damage essential cellular macromolecules and increase the production of ROS.
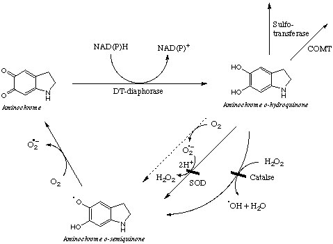
Briefly, Aminochrome undergoes a one-electron reduction reaction where redox cycling DA-semiquinones are formed. The enzyme that mediates the reduction of Aminochrome to the o-semiquinone is the NAPDH cytochrome P450 reductase. Dioxygen species are oxidized to ROS while NADPH to NADP. Interestingly, antioxidants such as Superoxide Dismutase and catalase exacerbate this reaction since it depletes the cell fr
om superoxide species, thus moving the reaction towards the reactant (aminochrome). Thus, the presence of SOD and catalase increases the auto-oxidation of Aminochrome o-semiquinone. However, in the presence of DT-diaphorase, as it is shown in the right, Aminochrome is reduced to Aminochrome o-hydroquinone. Although o-hydroquinones are also auto-oxidized; the rate of auto-oxidation is lower than that of aminochrome o-semiquinone. One of the possibilities is that SOD and Catalase recognize a general motif in the structure of the o-hydroquinone and prevents the generation of the degenerative o-semiquinones. Interestingly, the alcohols are present in the benzene rings of dopamine and o-hydroquinone. The cyclilization of the amine group is the only feature that differs among dopamine and aminochrome o-hydroquinone. The hydroquinone is a stable structure that is depleted from cells by reactions mediated by sulfo-transferases and COMT.
Question: How pertinent is the expression of DT-diaphorase for the progression of parkinson's disease, do these patients have a lower expression of DT-diaphorase in the substantia nigra? Do dopaminergic cells that express high levels of DT-diaphorase in the brain less likely to die from the disease?
Fast-scan cyclic voltammetry for dopamine detection
Bloq question: How can we study changes in dopamine concentration inside cells in vivo?
The principle behind this technology is the readily oxidation of dopamine in air and the unique transfer of electrons to a microelectrode as dopamine changes into its oxidized form (o-quinone).
Fast-scan cyclic voltammetry (FSCV) is a modified method of the classic cyclic voltammetry technique that is used to detect electroactive molecules based in changes in their redox potentials. FSCV provides a much higher temporal resolution at a subsecond time scale for analyte detection. The carbon-fiber microelectrodes monitor the extracellular concentration of electroactive molecules and are suitable for the in situ and in vivo monitoring of dopamine concentration inside dopaminergic cells in awake animals or in single cells.
The potential at the microelectrode is held at a voltage below the oxidizing potential (-0.4 V in reference to a silver/silver chloride electrode) of dopamine and it is linearly ramped to an oxidizing potential (+1.3 V) and back. During this cycle, characteristic of a redox reaction, electrons are transferred between the microelectrode and dopamine-o-quinone at the positive sweep and back to dopamine in the negative sweep. The scan rate of the microelectrode is held at a high rate and it is set to measure the flux of electrons (as current) multiple times each second. Current is proportional to the number of dopamine o-quinone molecules generated by the electro-oxidation reaction normalized to a standard. Current is plotted against potential to yield a cyclic voltammogram (CV) graph that is used to identify the analyte, since each electroactive molecule behaves differently during a redox reaction. The peak in the cyclic voltammeter plot is representative of dopamine o-quinone (~+1.3 V) and the change in the peak height is proportional to change in concentration when normalized to a standard.
FSCV permits the study of changes in the dopamine concentration over time by plotting the peak oxidation potential at different time points or over a range of biological preparations.
Reviews
Probing brain chemistry Stamford JA and Justice JB Jr Analytical Chemistry 68, 359A-363A (1996)
Critical guidelines for validation of the selectivity of in-vivo chemical microsensors Phillips PEM and Wightman RM Trends in Analytical Chemistry 22, 509-514 (2003)
Detection technologies. Probing cellular chemistry in biological systems with microelectrodes Wightman RM Science 311, 1570-1574 (2006)
Thursday, September 9, 2010
Biogenics in Neuroscience
http://www.bioen.utah.edu/faculty/greger/
Wednesday, July 28, 2010
Comparative Mammalian Brains

http://www.brainmuseum.org/
